Исследование распределения остаточных напряжений в поверхностно упрочненном цилиндрическом образце с технологическим концентратором напряжений
- 作者: 1
-
隶属关系:
- Самарский государственный технический университет
- 期: 卷 1 (2025)
- 页面: 181-182
- 栏目: ЧАСТЬ I. Прикладная математика и математическое моделирование
- ##submission.dateSubmitted##: 14.05.2025
- ##submission.dateAccepted##: 29.05.2025
- ##submission.datePublished##: 02.11.2025
- URL: https://vietnamjournal.ru/osnk-sr2025/article/view/679688
- ID: 679688
如何引用文章
全文:
详细
Обоснование. Уменьшению прочностного ресурса валов редукторов, подвергающихся воздействию эксплуатационных растягивающих нагрузок, способствуют полученные на стадии изготовления технологические концентраторы напряжений (канавки, выточки, пазы). Снижение чувствительности материалов таких деталей к вышеперечисленным конструктивным элементам возможно при использовании метода опережающего поверхностного пластического деформирования (ОППД), заключающегося в особом способе наведения сжимающих остаточных напряжений (ОН) в зоне технологического концентратора, компенсирующих эксплуатационные растягивающие напряжения [1, 2].
Цель ― исследовать эффективность наведения методом ОППД сжимающих ОН на примере гидродробеструйной обработки (ГДО) сплошного цилиндрического образца из стали 45 радиусом R1 = 30 мм и длиной l1 = 122 мм с концентратором напряжений в виде канавки для выхода шлифовального круга, имитирующего нагруженную изгибающим моментом M = 472,4 Н∙м поверхностно упрочненную часть ступенчатого вала редуктора (рис. 1).
Рис. 1. Расчетная схема поверхностно упрочненного цилиндрического образца с канавкой, представляющего часть ступенчатого вала
Методы. Ввиду значительной трудоемкости поставленной задачи для ее реализации было использовано цифровое моделирование процесса упрочнения в среде ANSYS. Такой подход предполагает решение задачи фиктивной термоупругости на основе феноменологической модели упрочнения гладкого цилиндрического образца (до образования на образце технологического концентратора напряжений), подробно изложенное в работе [2], с последующим использованием технологии ОППД (формирование канавки) на построенной конечно-элементной модели поверхностно упрочненного цилиндрического образца.
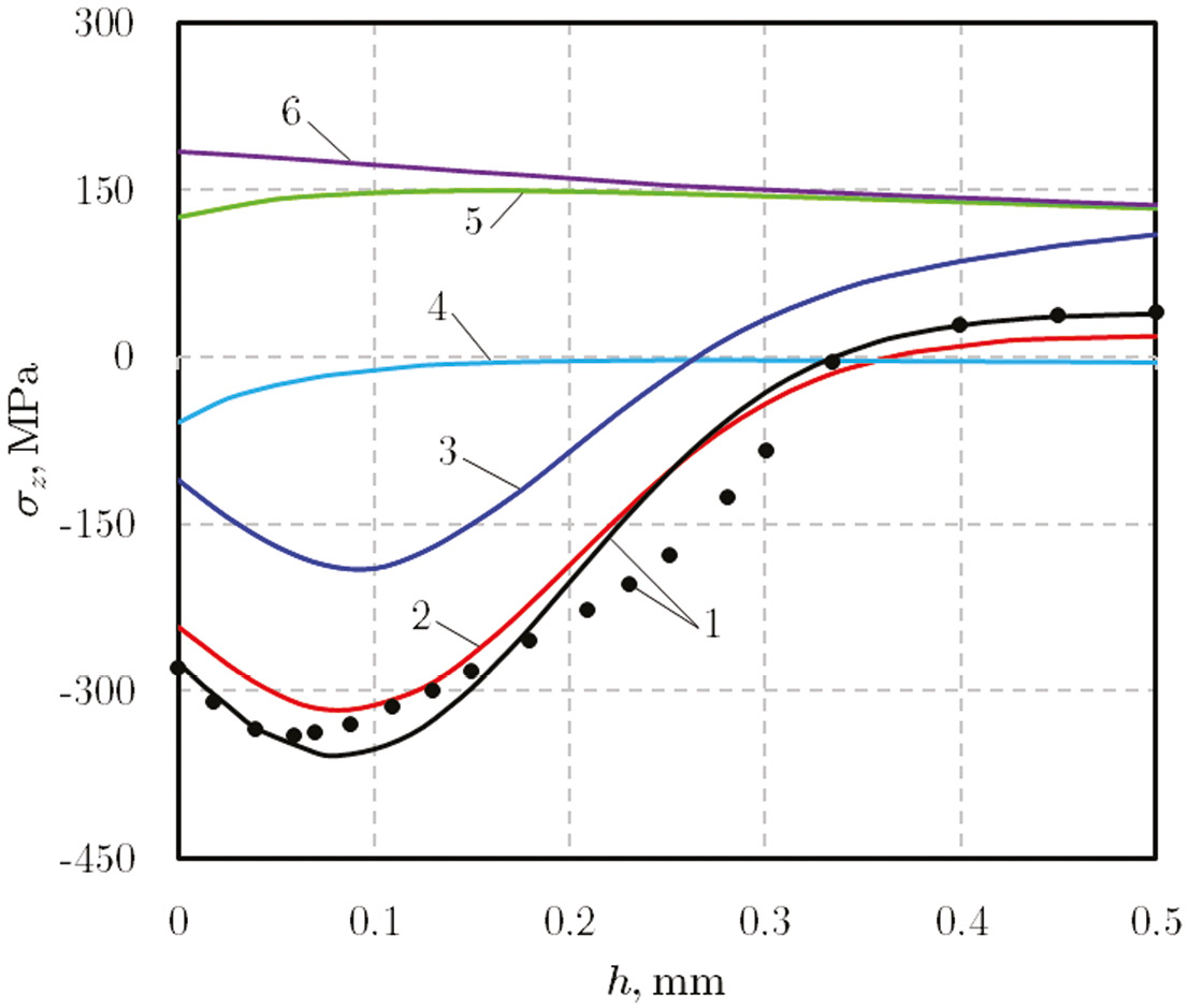
Результаты. Сопоставление всех полученных результатов численных расчетов на примере поверхностно упрочненного методом ГДО цилиндрического образца из стали 45 приведено ниже на рис. 2. Кривая 1 соответствует расчетным (сплошная линия) и экспериментальным (маркеры) данным для гладкого поверхностно упрочненного образца радиусом R0 = 5 мм без нагрузки, приведенных в работе [2]. Аналогичные результаты для образца радиусом R1 = 30 мм без нагрузки показаны в виде кривой 2, с учетом нагружения ― кривой 3. Кривыми 4−6 показаны расчетные данные для случая образца радиусом R1 = 30 мм при наличии концентратора напряжений (канавки) в сечении скругления радиусом R1,6. При этом кривыми 4 и 5 представлены расчетные случаи упрочненного образца без нагрузки и с нагружением соответственно. Расчетный случай неупрочненного образца под действием изгибающего момента показан кривой 6.
Рис. 2. Распределение ОН σz = σz(h) по высоте h в зависимости от рассматриваемого расчетного случая образца
Из графиков видно, что расчетные результаты ОН в моделях ненагруженных упрочненных образцов хорошо согласуются с данными эксперимента за пределами толщины упрочненного слоя. Для случаев нагруженных моделей результаты имеют асимптотическое сближение. При сравнении случаев нагруженных упрочненного и неупрочненного образцов с канавкой эффективность применения ГДО составляет 32 %.
Выводы. Анализ распределения ОН по компоненте σz = σz(h) для всех рассматриваемых моделей упрочненных образов демонстрирует хорошее сближение с данными эксперимента, что говорит об адекватности численного подхода. Наличие технологического концентратора напряжений оказывает серьезное влияние на напряженное состояние в приповерхностном упрочненном слое. Тем не менее эффективность применения упрочнения нагруженного цилиндрического образца по сравнению с неупрочненной структурой в пределах 250 мкм от наружной поверхности достигает 32 %.
全文:
Обоснование. Уменьшению прочностного ресурса валов редукторов, подвергающихся воздействию эксплуатационных растягивающих нагрузок, способствуют полученные на стадии изготовления технологические концентраторы напряжений (канавки, выточки, пазы). Снижение чувствительности материалов таких деталей к вышеперечисленным конструктивным элементам возможно при использовании метода опережающего поверхностного пластического деформирования (ОППД), заключающегося в особом способе наведения сжимающих остаточных напряжений (ОН) в зоне технологического концентратора, компенсирующих эксплуатационные растягивающие напряжения [1, 2].
Цель ― исследовать эффективность наведения методом ОППД сжимающих ОН на примере гидродробеструйной обработки (ГДО) сплошного цилиндрического образца из стали 45 радиусом R1 = 30 мм и длиной l1 = 122 мм с концентратором напряжений в виде канавки для выхода шлифовального круга, имитирующего нагруженную изгибающим моментом M = 472,4 Н∙м поверхностно упрочненную часть ступенчатого вала редуктора (рис. 1).
Рис. 1. Расчетная схема поверхностно упрочненного цилиндрического образца с канавкой, представляющего часть ступенчатого вала
Методы. Ввиду значительной трудоемкости поставленной задачи для ее реализации было использовано цифровое моделирование процесса упрочнения в среде ANSYS. Такой подход предполагает решение задачи фиктивной термоупругости на основе феноменологической модели упрочнения гладкого цилиндрического образца (до образования на образце технологического концентратора напряжений), подробно изложенное в работе [2], с последующим использованием технологии ОППД (формирование канавки) на построенной конечно-элементной модели поверхностно упрочненного цилиндрического образца.
Результаты. Сопоставление всех полученных результатов численных расчетов на примере поверхностно упрочненного методом ГДО цилиндрического образца из стали 45 приведено ниже на рис. 2. Кривая 1 соответствует расчетным (сплошная линия) и экспериментальным (маркеры) данным для гладкого поверхностно упрочненного образца радиусом R0 = 5 мм без нагрузки, приведенных в работе [2]. Аналогичные результаты для образца радиусом R1 = 30 мм без нагрузки показаны в виде кривой 2, с учетом нагружения ― кривой 3. Кривыми 4−6 показаны расчетные данные для случая образца радиусом R1 = 30 мм при наличии концентратора напряжений (канавки) в сечении скругления радиусом R1,6. При этом кривыми 4 и 5 представлены расчетные случаи упрочненного образца без нагрузки и с нагружением соответственно. Расчетный случай неупрочненного образца под действием изгибающего момента показан кривой 6.
Рис. 2. Распределение ОН σz = σz(h) по высоте h в зависимости от рассматриваемого расчетного случая образца
Из графиков видно, что расчетные результаты ОН в моделях ненагруженных упрочненных образцов хорошо согласуются с данными эксперимента за пределами толщины упрочненного слоя. Для случаев нагруженных моделей результаты имеют асимптотическое сближение. При сравнении случаев нагруженных упрочненного и неупрочненного образцов с канавкой эффективность применения ГДО составляет 32 %.
Выводы. Анализ распределения ОН по компоненте σz = σz(h) для всех рассматриваемых моделей упрочненных образов демонстрирует хорошее сближение с данными эксперимента, что говорит об адекватности численного подхода. Наличие технологического концентратора напряжений оказывает серьезное влияние на напряженное состояние в приповерхностном упрочненном слое. Тем не менее эффективность применения упрочнения нагруженного цилиндрического образца по сравнению с неупрочненной структурой в пределах 250 мкм от наружной поверхности достигает 32 %.
作者简介
Самарский государственный технический университет
编辑信件的主要联系方式.
Email: romandxdy@gmail.com
филиал Самарского государственного технического университета, Сызрань, студент, группа МЗ-21(с), кафедра «Технология машиностроения»
俄罗斯联邦, Сызрань参考
- Павлов В.Ф., Кирпичёв В.А., Вакулюк В.С. Остаточные напряжения и сопротивление усталости упрочненных образцов с концентраторами напряжений. Самара: СГАУ, 2011. 125 с.
- Радченко В.П., Куров А.Ю. Влияние анизотропии поверхностного пластического упрочнения на формирование остаточных напряжений в цилиндрических деталях с надрезами полукруглого профиля // Вестник Самарского государственного технического университета. Серия: Физико-математические науки. 2016. Т. 20, № 4. С. 675−690. doi: 10.14498/vsgtu1513 EDN: KVEUEO
补充文件





