Immunohistochemical analysis of Klotho protein expression in the brain of aging rats with diabetes mellitus under pharmacological correction
- Autores: Smirnov A.V.1, Dzhukeeva A.I.1, Tyurenkov I.N.1, Ekova M.R.1, Pustynnikov V.E.1, Bakulin D.A.1, Bolokhov N.S.1, Pokhlebin A.A.1, Velikorodnaya J.I.1, Krayushkin A.I.1
-
Afiliações:
- Volgograd State Medical University
- Edição: Volume 22, Nº 3 (2025)
- Páginas: 57-64
- Seção: Articles
- ##submission.datePublished##: 05.10.2025
- URL: https://vietnamjournal.ru/2658-4514/article/view/690057
- DOI: https://doi.org/10.19163/2658-4514-2025-22-3-57-64
- ID: 690057
Citar
Texto integral
Resumo
The Klotho protein is one of the key regulators of aging and metabolism in the brain of aging rats. The relevance of the work is due to the high prevalence of diabetic encephalopathy in elderly people with diabetes and the lack of knowledge of the mechanisms of its correction. Materials and methods. Type 1 diabetes was modeled on 36 Wistar rats at the age of 12 months by administration of streptozotocin. After 6 months of hyperglycemia, the animals received aminalon (1000 mg/kg/day) or succicard (50 mg/kg /day) for 30 days. The expression of Klotho protein in the retrosplenic cortex, hippocampus, thalamus, and hypothalamus was evaluated by immunohistochemistry. Quantitative analysis was performed using the ImageJ program, statistical significance was determined using ANOVA. Results and discussion. In rats with DM without treatment, lower levels of IRM expression using polyclonal antibodies against the Klotho protein were detected in the retrosplenic cortex, hippocampus, thalamus and hypothalamus, which, in comparison with intact animals, indicates a possible dysfunction of neuronal metabolism and a decrease in the protective activity of the Klotho protein in conditions of diabetic neurodegeneration. During aminalon therapy, the expression level of Klotho was higher than in animals without therapy. During Succicard therapy, Klotho levels exceeded those of the untreated group, but were inferior to aminalon. Conclusions. When modeling diabetes mellitus (DM), a decrease in the expression of immunoreactive material was noted when using antibodies against the Klotho protein in the retrosplenic cortex, hippocampus, thalamus and hypothalamus of rats, which indicates the appearance of signs of premature aging in brain structures against the background of triggering neuroinflammation processes, which contributes to the development of diabetic enephalopathy. During aminalon therapy, the expression level of the Klotho protein increased significantly. Treatment with succicard diabetes contributed to a less pronounced increase in the level of Klotho protein expression compared with aminalon. The results of the study confirm the prospects of searching for a number of GABA derivatives in diabetes, taking into account metabolic disorders in the Klotho/FGF 23 signaling pathway (fibroblast growth factor 23, fibroblast growth factor 23) in key cerebral structures.
Texto integral
Старение представляет собой сложный биологический процесс, который является фактором риска развития нейродегенеративных патологий и метаболических нарушений, среди которых важное место занимает сахарный диабет 2-го типа [1]. Возраст-ассоциированное снижение когнитивных функций усугубляется при сахарном диабете (СД), формируя состояние так называемого «диабетического мозга», характеризующееся ускоренным нейрональным старением и структурно-функциональными изменениями центральной нервной системы (ЦНС) [2].
При СД морфологические изменения головного мозга характеризуются развитием нейровоспаления и повреждения нейронов с преимущественным уменьшением объема серого и белого вещества, а также гиппокампа.
Со стороны цереброваскулярной системы наблюдается повышение проницаемости гематоэнцефалического барьера, снижение церебрального кровотока и плотности сосудистой сети, а также структурные повреждения микрососудов, опосредованные множественными факторами: накоплением конечных продуктов гликирования (AGEs), окислительным стрессом, воспалением и др. [3]
Одним из ключевых регуляторов процессов старения и метаболического гомеостаза выступает белок Klotho, преимущественно экспрессируемый в почках [4], а также в мозге [5], в бетта-клетках поджелудочной железы и др. Белок Klotho известен своими геропротективными и нейропротективными свойствами, участием в поддержании когнитивных функций, антиоксидантной защите и регуляции чувствительности мозга к инсулину. Экспрессия этого белка в мозге существенно снижается как при физиологическом старении, так и в условиях гипергликемии и инсулинорезистентности при СД, что рассматривается как значимый патогенетический фактор когнитивного дефицита [6].
В поиске стратегий фармакологической коррекции возраст-зависимых и диабет-индуцированных нарушений ЦНС значительный интерес представляют производные γ-аминомасляной кислоты (ГАМК), учитывая их широкий спектр нейротропных эффектов, анксиолитическое, седативное, противосудорожное и нейропротекторное действие [7, 8], включая повышение экспрессии белка Klotho [9].
В связи с этим исследование влияния фармакологической коррекции производными ГАМК на белок Klotho в головном мозге в условиях физиологического старения и экспериментального сахарного диабета представляется актуальным.
ЦЕЛЬ РАБОТЫ
Изучить экспрессию белка Klotho в головном мозге крыс 19-месячного возраста с длительным (12–18 мес.) сахарным диабетом при фармакологической коррекции производными ГАМК.
МЕТОДИКА ИССЛЕДОВАНИЯ
Исследование было проведено на 36 беспородных крысах-самцах линии Wistar массой 280–320 г. в возрасте 12 месяцев на момент начала эксперимента.
Животные содержались в стандартных условиях вивария при температуре (22 ± 2) °C, влажности (55 ± 10) % и 12-часовом световом цикле с неограниченным доступом к воде и стандартному гранулированному корму. Все манипуляции соответствовали международным биоэтическим нормам и были одобрены локальным этическим комитетом (протокол № 2022/116 от 04.03.2022).
Моделирование сахарного диабета 1-го типа выполняли после 14-часовой пищевой депривации путем внутрибрюшинного введения стрептозотоцина (60 мг/кг; SRL, Индия). Мониторинг гликемии осуществляли через 72 часа после индукции и ежемесячно на протяжении 6 месяцев с использованием глюкометра Contour TS.
Критерием включения в исследование служила стабильная гипергликемия в диапазоне 10–18 ммоль/л, сохранявшаяся на протяжении 6 месяцев.
Через полгода после верификации диабета животные были рандомизированы на четыре группы по 9 особей: интактные особи без диабета (группа Интакт), крысы с диабетом, получавшие эквиобъемный физиологический раствор (группа СД), животные с диабетом, получавшие аминалон в дозе 1000 мг/кг/сут. (группа СД + аминалон), и животные с диабетом, получавшие сукцикард в дозе 50 мг/кг/сут. (группа СД + сукцикард). Препараты вводили ежедневно внутрижелудочно в течение 30 дней.
По завершении терапии животных наркотизировали хлоралгидратом (400 мг/кг, внутрибрюшинно) с последующей перфузионной фиксацией мозга 10%-м нейтральным забуференным формалином. Парафиновые срезы толщиной 4–5 мкм изготавливали по стандартным гистологическим протоколам. Иммуногистохимическую детекцию белка Klotho проводили с использованием поликлональных антител производства Cloud-Clone Corp. (разведение 1:100) с визуализацией полимерной системой LSAB и хромогеном DAB (DAKO, Дания). Контроль специфичности включал секции с исключением первичных антител.
Морфометрический анализ экспрессии белка Klotho выполняли в гипокампе, таламусе и гипоталамусе. Количественную оценку проводили путем расчета относительной площади иммунопозитивных структур (%) с использованием программного обеспечения ImageJ 1.54d (NIH, США).
Статистическую обработку данных осуществляли в программе Prism 10 (GraphPad Software, США). Нормальность распределения проверяли тестом Шапиро – Уилка. Межгрупповые различия анализировали с применением однофакторного дисперсионного анализа (ANOVA) с пост-тестом Тьюки для параметрических данных или критерия Крускала – Уоллиса с коррекцией Данна для непараметрических наборов. Статистическую значимость устанавливали при p < 0,05.
РЕЗУЛЬТАТЫ ИССЛЕДОВАНИЯ И ИХ ОБСУЖДЕНИЕ
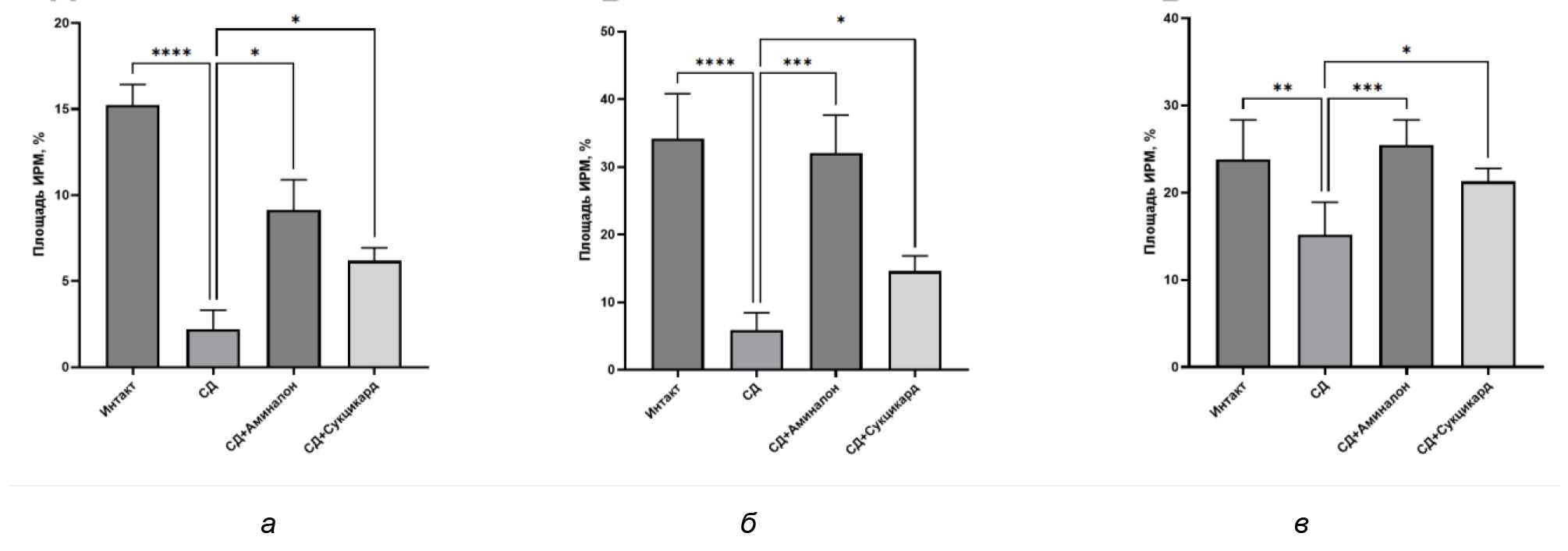
При проведении иммуногистохимического анализа экспрессии белка Klotho в структурах головного мозга 19-месячных интактных крыс, не страдающих сахарным диабетом, выявлена интенсивная экспрессия иммунореактивного материала (ИРМ), локализованного преимущественно в нейропиле, ядре и цитоплазме перикарионов нейронов молекулярного слоя и в наружном пирамидном слое ретроспленальной коры. Подобная картина наблюдалась также в радиальном слое области СА1 гиппокампа [(15,25 ± 0,42) %], в дорсомедиальном ядре гипоталамуса [(34,18 ± 2,36) %], а также в срединных ядрах таламуса [(23,8 ± 1,72) %], преимущественно в паравентрикулярных.
У животных с индуцированным сахарным диабетом 1-го типа без терапии отмечалось снижение экспрессии белка Klotho во всех анализируемых структурах. Иммунореактивность в молекулярном и пирамидном слоях ретроспленальной коры, радиальном слое СА1 гиппокампа [(2,21 ± 0,35) %], дорсомедиальном ядре гипоталамуса [(5,88 ± 0,66) %] и срединных ядрах таламуса [(15,15 ± 1,25) %] была значительно менее выраженной по сравнению с животными интактной группы [на 13,04 % (p < 0,0001), 28,3 % (p < 0,0001) и 8,64 % (p < 0,005) соответственно], при этом сохранялась преимущественно в ядре и цитоплазме перикарионов отдельных нейронов. Морфологическая картина свидетельствует о возможной дисфункции нейронального метаболизма и снижении защитной активности белка Klotho в условиях диабетической нейродегенерации.
На фоне фармакологической коррекции отмечались различия в степени восстановления экспрессии. Наиболее выраженный нейропротекторный эффект наблюдался у животных, получавших аминалон, – в гипокампе [(9,13 ± 0,67) %], гипоталамусе [(32,05 ± 2,52) %] и таламусе [(25,46 ± 1,29) %] уровень экспрессии ИРМ был выше, чем у крыс с диабетом без лечения [на 6,92 % (p < 0,05), 26,2 % (p < 0,001) и 10,3 % (p < 0,001) соответственно], что указывает на способность препарата поддерживать или реактивировать экспрессию Klotho в условиях диабетической энцефалопатии.
У животных, получавших сукцикард, иммуногистохимическая реакция в гипокампе [(6,19 ± 0,34) %], гипоталамусе [(14,61 ± 0,75) %] и таламусе [(21,28 ± 0,54) %] была менее выраженной, чем в группе аминалона, однако превышала показатели нелеченого контроля [на 3,98 % (p < 0,05), 8,73 % (p < 0,05) и 6,12 % (p < 0,05) соответственно], что может свидетельствовать о частичной компенсаторной активности.
Полученные данные подтверждают высокую чувствительность экспрессии белка Klotho к диабетическим метаболическим нарушениям и подчеркивает, что хроническая гипергликемия при экспериментальном диабете 1-го типа приводит к значительному подавлению экспрессии белка Klotho в критических для когнитивных функций областях мозга – ретроспленальной коре, гиппокампе, таламусе и гипоталамусе.
Это согласуется с современными представлениями о белке Klotho, как о регуляторе нейронального гомеостаза, чье снижение ассоциировано с ускоренным нейродегенеративным старением и когнитивным дефицитом, а нарушение сигнального пути Klotho/FGF 23 (фактора роста фибробластов 23, fibroblast growth factor 23) способствует снижению противовоспалительного, антиоксидантного, антифиброзного, противоопухолевого влияний белка Klotho [5].
Рис. 1. Изменение экспрессии белка Klotho в цитоплазме нейронов гипокампа крыс при экспериментальном сахарном диабете: а – группа интактных животных (крысы без СД); б – группа животных с сахарным диабетом (СД); в – группа животных с сахарным диабетом и фармакокоррекцией аминалоном (СД + аминалон); г – группа животных с сахарным диабетом и фармакокоррекцией сукцикардом (СД + сукцикард). Иммуногистохимическое исследование, антитела против белка Klotho, докраска гематоксилином. Увеличение ×400. Белые стрелки – экспрессия ИРМ
Рис. 2. Изменение экспрессии белка Klotho в цитоплазме нейронов гипоталамуса крыс при экспериментальном сахарном диабете: а – группа интактных животных (крысы без СД); б – группа животных с сахарным диабетом (СД); в – группа животных с сахарным диабетом и фармакокоррекцией аминалоном (СД + аминалон); г – группа животных с сахарным диабетом и фармакокоррекцией сукцикардом (СД + сукцикард). Иммуногистохимическое исследование, антитела против белка Klotho, докраска гематоксилином. Увеличение ×400. Белые стрелки – экспрессия ИРМ
Рис. 3. Изменение экспрессии белка Klotho в цитоплазме нейронов срединных ядрах таламуса (преимущественно паравентрикулярных) крыс при экспериментальном сахарном диабете: а – группа интактных животных (крысы без СД); б – группа животных с сахарным диабетом (СД); в – группа животных с сахарным диабетом и фармакокоррекцией аминалоном (СД + аминалон); г – группа животных с сахарным диабетом и фармакокоррекцией сукцикардом (СД + сукцикард). Иммуногистохимическое исследование, антитела против белка Klotho, докраска гематоксилином. Увеличение ×400. Белые стрелки – экспрессия ИРМ
Рис. 4. Динамика изменения экспрессии иммунореактивного материала в гипокампе (а), доросомедиальном и аркуатном ядрах гипоталамуса (б), срединных ядрах таламуса (в) головного мозга крыс: **** – различия между группами статистически значимы (Anova-Тест), p < 0,0001, *** – различия между группами статистически значимы (Anova-Тест), p < 0,001, ** – различия между группами статистически значимы (Anova-Тест), p < 0,005, * – различия между группами статистически значимы (Anova-Тест), p < 0,05
По нашим данным, при сахарном диабете в головном мозге крыс развивается нейровоспаление, связанное с повышением экспрессии Nf-kB [10]. Снижение экспрессии белка Klotho в головном мозге при СД свидетельствует об антагонистических метаболических влияниях белка Klotho и ядерного фактора Nf-kB, что находит подтверждение в литературе [11].
Перспективным направлением представляется изучение сигнальных путей, связывающих ГАМК-ергическую передачу с регуляцией белка Klotho. Учитывая растущие доказательства [12] роли белка Klotho в профилактике сосудистой деменции и болезни Альцгеймера, полученные данные обосновывают дальнейшие исследования производных ГАМК как потенциальных геропротекторов при диабет-ассоциированных когнитивных нарушениях.
ЗАКЛЮЧЕНИЕ
Исследование подтверждает роль белка Klotho как регуляторного фактора в головном мозге стареющих крыс, демонстрируя его интенсивную базальную экспрессию в ретроспленальной коре, гиппокампе, таламусе и гипоталамусе. При моделировании сахарного диабета отмечено снижение экспрессии иммунореактивного материала при использовании антител против белка Klotho в ретроспленальной коре, гиппокампе, таламусе и гипоталамусе крыс, что свидетельствует о появлении признаков преждевременного старения в структурах головного мозга на фоне запуска процессов нейровоспаления и способствует развитию диабетической энефалопатии. При терапии аминалоном уровень экспрессии белка Klotho значимо повышался.
Лечение сахарного диабета сукцикардом способствовало менее выраженному увеличению уровня экспрессии белка Klotho, по сравнению с аминалоном. Результаты исследования подтверждают перспективность поиска в ряду производных ГАМК при сахарном диабете с учетом метаболических нарушений в сигнальном пути Klotho/FGF 23 (фактора роста фибробластов 23, fibroblast growth factor 23) в ключевых церебральных структурах.
Sobre autores
Alexey Smirnov
Volgograd State Medical University
Autor responsável pela correspondência
Email: alexeysmirnov.volggmu@gmail.com
ORCID ID: 0000-0001-5351-6105
Doctor of Medical Sciences, Professor, Head
Rússia, VolgogradAislu Dzhukeeva
Volgograd State Medical University
Email: aandm08@mail.ru
ORCID ID: 0009-0003-8604-0475
Assistant Professor
Rússia, VolgogradIvan Tyurenkov
Volgograd State Medical University
Email: fibfuv@mail.ru
ORCID ID: 0000-0001-7574-3923
Corresponding Member of the Russian Academy of Sciences, Doctor of Medical Sciences, Professor, Professor of the Department
Rússia, VolgogradMaria Ekova
Volgograd State Medical University
Email: maria.ekova@mail.ru
ORCID ID: 0000-0001-8655-1441
Candidate of Medical Sciences, Associate Professor, Researcher
Rússia, VolgogradVladislav Pustynnikov
Volgograd State Medical University
Email: Pustynnikov.volgmed@gmail.com
ORCID ID: 0000-0001-9561-5320
Assistant Professor
Rússia, VolgogradDmitry Bakulin
Volgograd State Medical University
Email: mbfdoc@gmail.com
ORCID ID: 0000-0003-4694-3066
Candidate of Medical Sciences, Senior Researcher, Laboratory
Rússia, VolgogradNikita Bolokhov
Volgograd State Medical University
Email: neekit.main@gmail.com
ORCID ID: 0000-0002-2458-5731
Postgraduate Student
Rússia, VolgogradAlexander Pokhlebin
Volgograd State Medical University
Email: spohlebin12340@mail.ru
ORCID ID: 0000-0002-0474-5005
Postgraduate Student
Rússia, VolgogradJulia Velikorodnaya
Volgograd State Medical University
Email: alta-u@mail.ru
ORCID ID: 0000-0003-2976-6352
Research Associate
Rússia, VolgogradAlexander Krayushkin
Volgograd State Medical University
Email: krayushkin.ai@mail.ru
Doctor of Medical Sciences, Professor, Professor of the Department
Rússia, VolgogradBibliografia
- Shen X., Wang C., Zhou X., Zhou W., Hornburg D., Wu S., Snyder M.P. Nonlinear dynamics of multi-omics profiles during human aging. Nature Aging. 2024;4(11):1619–1634. doi: 10.1038/s43587-024-00692-2.
- Goeminne L. J. E., Vladimirova A., Eames A., Tyshkovskiy A., Argentieri M. A., Ying K. et al. Plasma protein-based organ-specific aging and mortality models unveil diseases as accelerated aging of organismal systems. Cell Metabolism. 2025;37(1):205–222.e6. doi: 10.1016/j.cmet.2024.10.005.
- Chen R., Shi J., Yin Q., Li X., Sheng Y., Han J. et al. Morphological and Pathological Characteristics of Brain in Diabetic Encephalopathy. Journal of Alzheimer’s Disease. 2018;65(1):15–28. doi: 10.3233/JAD-180314
- Кавалерова Д. А., Снигур Г. Л., Сурин С. С., Тюренков И. Н., Бакулин Д. А., Сахарова Э. Ю. Особенности экспрессии белка Клото в почках крыс при экспериментальной гипергликемии на фоне фармакологической коррекции производными ГАМК. Журнал анатомии и гистопатологии. 2023;12(4):38–46. doi: 10.18499/2225-7357-2023-12-4-38-46.
- Hajare A. D., Dagar N., Gaikwad A. B. Klotho antiaging protein: molecular mechanisms and therapeutic potential in diseases. Mol Biomed. 2025;6(1):19. doi: 10.1186/s43556-025-00253-y.
- Prud’homme G. J., Wang Q. Anti-Inflammatory Role of the Klotho Protein and Relevance to Aging. Cells. 2024; 13(17):1413. doi: 10.3390/cells13171413.
- Almutairi S., Sivadas A., Kwakowsky A. The Effect of Oral GABA on the Nervous System: Potential for Therapeutic Intervention. Nutraceuticals. 2024; 4(2):241–259. doi: 10.3390/nutraceuticals4020015.
- Barakat H., Aljutaily T. Role of γ-Aminobutyric Acid (GABA) as an Inhibitory Neurotransmitter in Diabetes Management: Mechanisms and Therapeutic Implications. Biomolecules. 2025;15(3):399. doi: 10.3390/biom15030399.
- Prud'homme G. J., Kurt M., Wang Q. Pathobiology of the Klotho Antiaging Protein and Therapeutic Considerations. Front Aging. 2022;3:931331. doi: 10.3389/fragi.2022.931331.
- Смирнов А. В., Тюренков И. Н., Бисинбекова А. И., Бакулин Д. А. Особенности экспрессии Nf-kb во внутреннем пирамидном слое моторной коры крыс с экспериментальным сахарным диабетом 1-го типа. Вестник Волгоградского государственного медицинского университета. 2024;21(4):130–135. doi: 10.19163/1994-9480-2024-21-4-130-135.
- Buendía P., Ramírez R., Aljama P., Carracedo J. Chapter Five – Klotho Prevents Translocation of NFκB. Vitamins & Hormones: Klotho. Academic Press. 2016;101:119–150.
- Ananya F. N., Ahammed M. R., Lahori S., Parikh C., Lawrence J. A., Sulachni F. et al. Neuroprotective Role of Klotho on Dementia. Cureus. 2023;15(6):e40043. doi: 10.7759/cureus.40043.
Arquivos suplementares







